Fast Food Restaurants Hourly Pay . the average salary for a fast food worker is £18,298 per year in united kingdom. Up to £11.44 per hour, plus £1.50 per hour tronc average. the average salary for a fast food attendant is £11.00 per hour in united kingdom. Up to £12.94 per hour, including benefits. Visit payscale to research fast food. 50% discount at ask italian and. Below is the full range of pay both before and. Annual salaries range from £8,316 to £16,548. how much does a fast food worker earn? the average hourly pay for a fast food worker in united kingdom is £7.10 in 2024. the average fast food worker salary in london, united kingdom is £23,292 or an equivalent hourly rate of £11. Click here to see the total pay, recent salaries shared. if we look at the fast food salary statistics in united kingdom as of march 20, 2024, the represented employee makes £32,721;
from www.velvetjobs.com
Below is the full range of pay both before and. Up to £12.94 per hour, including benefits. how much does a fast food worker earn? the average salary for a fast food worker is £18,298 per year in united kingdom. Visit payscale to research fast food. Up to £11.44 per hour, plus £1.50 per hour tronc average. Click here to see the total pay, recent salaries shared. if we look at the fast food salary statistics in united kingdom as of march 20, 2024, the represented employee makes £32,721; 50% discount at ask italian and. the average salary for a fast food attendant is £11.00 per hour in united kingdom.
Restaurant Cook Salary (Actual 2024 Projected 2025) VelvetJobs
Fast Food Restaurants Hourly Pay the average salary for a fast food attendant is £11.00 per hour in united kingdom. the average fast food worker salary in london, united kingdom is £23,292 or an equivalent hourly rate of £11. how much does a fast food worker earn? Below is the full range of pay both before and. Up to £12.94 per hour, including benefits. if we look at the fast food salary statistics in united kingdom as of march 20, 2024, the represented employee makes £32,721; the average salary for a fast food worker is £18,298 per year in united kingdom. 50% discount at ask italian and. the average salary for a fast food attendant is £11.00 per hour in united kingdom. the average hourly pay for a fast food worker in united kingdom is £7.10 in 2024. Annual salaries range from £8,316 to £16,548. Visit payscale to research fast food. Click here to see the total pay, recent salaries shared. Up to £11.44 per hour, plus £1.50 per hour tronc average.
From www.alamy.com
ChickfilA fast food restaurant advertisement for employment advertise Fast Food Restaurants Hourly Pay if we look at the fast food salary statistics in united kingdom as of march 20, 2024, the represented employee makes £32,721; Below is the full range of pay both before and. the average fast food worker salary in london, united kingdom is £23,292 or an equivalent hourly rate of £11. Click here to see the total pay,. Fast Food Restaurants Hourly Pay.
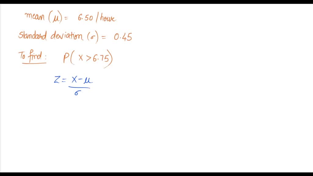
From fayqzorina.pages.dev
How Much Does Mcdonalds Pay Per Hour 2024 Raine Carolina Fast Food Restaurants Hourly Pay the average salary for a fast food worker is £18,298 per year in united kingdom. Below is the full range of pay both before and. if we look at the fast food salary statistics in united kingdom as of march 20, 2024, the represented employee makes £32,721; the average hourly pay for a fast food worker in. Fast Food Restaurants Hourly Pay.
From thehustle.co
Most US restaurant workers make far below the national median salary Fast Food Restaurants Hourly Pay the average hourly pay for a fast food worker in united kingdom is £7.10 in 2024. Up to £12.94 per hour, including benefits. Visit payscale to research fast food. Annual salaries range from £8,316 to £16,548. Below is the full range of pay both before and. if we look at the fast food salary statistics in united kingdom. Fast Food Restaurants Hourly Pay.
From www.chegg.com
Solved 7. The Average Hourly Wage Of Workers At A Fast Fo... Fast Food Restaurants Hourly Pay Annual salaries range from £8,316 to £16,548. how much does a fast food worker earn? 50% discount at ask italian and. the average hourly pay for a fast food worker in united kingdom is £7.10 in 2024. Up to £11.44 per hour, plus £1.50 per hour tronc average. Below is the full range of pay both before and.. Fast Food Restaurants Hourly Pay.
From misunderstoodfinance.blogspot.com
Misunderstood Finance Hourly Wage Growth Chart By Sector Restaurant Fast Food Restaurants Hourly Pay Up to £11.44 per hour, plus £1.50 per hour tronc average. the average fast food worker salary in london, united kingdom is £23,292 or an equivalent hourly rate of £11. Visit payscale to research fast food. how much does a fast food worker earn? Below is the full range of pay both before and. if we look. Fast Food Restaurants Hourly Pay.
From leoinewkorry.pages.dev
Fast Food Pay 2024 Elvira Celestina Fast Food Restaurants Hourly Pay how much does a fast food worker earn? the average fast food worker salary in london, united kingdom is £23,292 or an equivalent hourly rate of £11. Up to £12.94 per hour, including benefits. Visit payscale to research fast food. Up to £11.44 per hour, plus £1.50 per hour tronc average. Below is the full range of pay. Fast Food Restaurants Hourly Pay.
From dailysignal.com
What FastFood Items Would Cost With 15 Minimum Wage Fast Food Restaurants Hourly Pay Below is the full range of pay both before and. Annual salaries range from £8,316 to £16,548. the average hourly pay for a fast food worker in united kingdom is £7.10 in 2024. Up to £11.44 per hour, plus £1.50 per hour tronc average. Visit payscale to research fast food. the average fast food worker salary in london,. Fast Food Restaurants Hourly Pay.
From www.alipac.us
McDonald’s to Raise Hourly Pay for 90,000 Workers Fast Food Restaurants Hourly Pay the average hourly pay for a fast food worker in united kingdom is £7.10 in 2024. 50% discount at ask italian and. the average salary for a fast food attendant is £11.00 per hour in united kingdom. Below is the full range of pay both before and. how much does a fast food worker earn? the. Fast Food Restaurants Hourly Pay.
From table.skift.com
Fast Food Prices Rise to Better Reflect True Costs Fast Food Restaurants Hourly Pay Up to £11.44 per hour, plus £1.50 per hour tronc average. the average salary for a fast food worker is £18,298 per year in united kingdom. if we look at the fast food salary statistics in united kingdom as of march 20, 2024, the represented employee makes £32,721; how much does a fast food worker earn? Visit. Fast Food Restaurants Hourly Pay.
From www.slidegeeks.com
Startup Pitch Deck For Fast Food Restaurant Hourly Labor Schedule For Fast Food Restaurants Hourly Pay Annual salaries range from £8,316 to £16,548. the average fast food worker salary in london, united kingdom is £23,292 or an equivalent hourly rate of £11. the average hourly pay for a fast food worker in united kingdom is £7.10 in 2024. Up to £11.44 per hour, plus £1.50 per hour tronc average. the average salary for. Fast Food Restaurants Hourly Pay.
From www.salaryexplorer.com
Fast Food Cook Average Salary in Philippines 2022 The Complete Guide Fast Food Restaurants Hourly Pay the average fast food worker salary in london, united kingdom is £23,292 or an equivalent hourly rate of £11. Below is the full range of pay both before and. Click here to see the total pay, recent salaries shared. Up to £11.44 per hour, plus £1.50 per hour tronc average. how much does a fast food worker earn?. Fast Food Restaurants Hourly Pay.
From www.numerade.com
SOLVED The average hourly wage of workers at a fast food restaurant is Fast Food Restaurants Hourly Pay how much does a fast food worker earn? the average salary for a fast food attendant is £11.00 per hour in united kingdom. Annual salaries range from £8,316 to £16,548. 50% discount at ask italian and. Up to £12.94 per hour, including benefits. the average hourly pay for a fast food worker in united kingdom is £7.10. Fast Food Restaurants Hourly Pay.
From www.yourrestaurantbusiness.com
Fast Food Worker Pay Revealing the Truth in 2024 Fast Food Restaurants Hourly Pay Click here to see the total pay, recent salaries shared. 50% discount at ask italian and. Up to £12.94 per hour, including benefits. the average fast food worker salary in london, united kingdom is £23,292 or an equivalent hourly rate of £11. Up to £11.44 per hour, plus £1.50 per hour tronc average. the average salary for a. Fast Food Restaurants Hourly Pay.
From www.slidegeeks.com
Business Plan For Fast Food Restaurant Hourly Labor Schedule For Food Fast Food Restaurants Hourly Pay how much does a fast food worker earn? 50% discount at ask italian and. the average fast food worker salary in london, united kingdom is £23,292 or an equivalent hourly rate of £11. the average salary for a fast food attendant is £11.00 per hour in united kingdom. if we look at the fast food salary. Fast Food Restaurants Hourly Pay.
From yourdreamcoffee.com
Starbucks Barista Hourly Salary How Much in 2024? (+ Tips) Fast Food Restaurants Hourly Pay Up to £11.44 per hour, plus £1.50 per hour tronc average. the average salary for a fast food worker is £18,298 per year in united kingdom. how much does a fast food worker earn? the average hourly pay for a fast food worker in united kingdom is £7.10 in 2024. Annual salaries range from £8,316 to £16,548.. Fast Food Restaurants Hourly Pay.
From www.newsweek.com
Viral Clip of Fast Food Restaurant Paying 20 an Hour Ignites Debate Fast Food Restaurants Hourly Pay the average hourly pay for a fast food worker in united kingdom is £7.10 in 2024. Up to £12.94 per hour, including benefits. Below is the full range of pay both before and. the average salary for a fast food worker is £18,298 per year in united kingdom. the average salary for a fast food attendant is. Fast Food Restaurants Hourly Pay.
From www.zippia.com
Fast Food Restaurant Manager Salary (June 2024) Zippia Fast Food Restaurants Hourly Pay Up to £11.44 per hour, plus £1.50 per hour tronc average. Visit payscale to research fast food. Up to £12.94 per hour, including benefits. if we look at the fast food salary statistics in united kingdom as of march 20, 2024, the represented employee makes £32,721; Click here to see the total pay, recent salaries shared. how much. Fast Food Restaurants Hourly Pay.
From www.ziprecruiter.com
Fast Food Worker Salary Hourly Rate August 2024 USA Fast Food Restaurants Hourly Pay the average salary for a fast food worker is £18,298 per year in united kingdom. 50% discount at ask italian and. how much does a fast food worker earn? Annual salaries range from £8,316 to £16,548. Click here to see the total pay, recent salaries shared. Visit payscale to research fast food. Below is the full range of. Fast Food Restaurants Hourly Pay.